English
全部
搜索
图片
视频
短视频
地图
资讯
更多
购物
航班
旅游
笔记本
报告不当内容
请选择下列任一选项。
无关
低俗内容
成人
儿童性侵犯
时长
全部
短(小于 5 分钟)
中(5-20 分钟)
长(大于 20 分钟)
日期
全部
过去 24 小时
过去一周
过去一个月
去年
清晰度
全部
低于 360p
360p 或更高
480p 或更高
720p 或更高
1080p 或更高
源
全部
Dailymotion
Vimeo
Metacafe
Hulu
VEVO
Myspace
MTV
CBS
Fox
CNN
MSN
价格
全部
免费
付费
清除筛选条件
安全搜索:
中等
严格
中等(默认)
关闭
筛选器
#machinelearning #internship #datascience #python #creditrisk
…
2 个月之前
linkedin.com
review-code-ai
3 个月之前
devpost.com
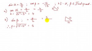
SOLVED:Suppose the input is 5. What is the value of alpha after th
…
2021年7月10日
numerade.com
18:10
Google's self-learning AI AlphaZero masters chess in 4 hours
已浏览 158.1万 次
2017年12月8日
YouTube
ChessNetwork
If our alpha level is .05, we fail to reject the null hypothesi... | Filo
已浏览 5932 次
2024年3月17日
askfilo.com
4:32
Как играть в WOW Alpha 0.5.3
已浏览 1911 次
2017年11月4日
YouTube
Greg
23:19
A Beginner's Guide to Machine Learning with ml5.js
已浏览 22.6万 次
2018年7月31日
YouTube
The Coding Train
12:56
Design a book cover using Canva + Silhouette Studio
已浏览 4.2万 次
2024年5月3日
YouTube
Abound Bindery
27:53
Performance Evaluation Measures in Machine Learning - AI Lecture
已浏览 4099 次
2021年4月28日
YouTube
Nida Pervaiz
1:21
Kernel and Gamma - Intro to Machine Learning
已浏览 5.8万 次
2015年2月23日
YouTube
Udacity
1:12
Every Gen Alpha Slang Explained (Part 1)
已浏览 13万 次
2024年4月17日
YouTube
Explainify Hub
21:38
EVALUATING PERFORMANCE OF A MODEL-Machine Learning-20A056
…
已浏览 9035 次
2023年3月24日
YouTube
D Sumathi
3:39
Sony 28-70mm kit lens Review with Sony a7ii
已浏览 25.1万 次
2017年11月1日
YouTube
Shutter Discovery
3:50:40
Mathematics for Machine Learning - Linear Algebra - Full Online Speci
…
已浏览 8.7万 次
2019年11月15日
YouTube
Digital Media - Imperial College London
19:57
Park & Clark Transformation | abc - αβ and abc - dq0 | MATLAB Simul
…
已浏览 6.1万 次
2018年11月3日
YouTube
Sun Innovative
16:10
Alpha 0.5.3 – The True Classic Minus
已浏览 8299 次
5 个月之前
YouTube
Digital Archaeologist
6:35
Machine Learning | Hyperparameter
已浏览 8万 次
2019年8月3日
YouTube
RANJI RAJ
1:08:06
Deep Learning Basics: Introduction and Overview
已浏览 251.4万 次
2019年1月11日
YouTube
Lex Fridman
2:56
AI: What is Machine Learning?
已浏览 20.5万 次
2019年12月2日
YouTube
Code.org
17:43
Decision Tree Classification in Python (from scratch!)
已浏览 24.1万 次
2021年1月21日
YouTube
Normalized Nerd
31:04
Coronavirus Outbreak Prediction Using Machine Learning | Predicte
…
已浏览 12.3万 次
2020年3月18日
YouTube
Simplilearn
1:00
Keanehan Minecraft Alpha 0.0.0
已浏览 33.4万 次
2022年3月1日
YouTube
Zet Uncensored
4:58
THIS METAL CAN PRODUCE UNLIMITED ENERGY
已浏览 29万 次
2023年9月28日
YouTube
Hidden Technology
12:21
Phishing Email Detection Code using Machine Learning in Python
已浏览 1059 次
2024年10月13日
YouTube
Asim Code
26:09
Computer Scientist Explains Machine Learning in 5 Levels of Di
…
已浏览 249.7万 次
2021年8月18日
YouTube
WIRED
2:02:21
Python Full Course for Beginners
已浏览 533.1万 次
2025年2月12日
YouTube
Programming with Mosh
3:40:42
Learn to read & count | 3 hours of Alphablocks & Numberblocks Lev
…
已浏览 1948.9万 次
2023年3月26日
YouTube
Blocks Universe
3:35
10 Tips for Improving the Accuracy of your Machine Learning Models
已浏览 1.9万 次
2023年1月16日
YouTube
Jeff Heaton
21:55
Deep Learning(CS7015): Lec 15.1 Introduction to Encoder Decoder
…
已浏览 6.1万 次
2018年10月24日
YouTube
NPTEL-NOC IITM
49:36
How To Make Vinyl Decals Stickers With Silhouette Cameo - 2024 Upd
…
已浏览 3.2万 次
2024年2月18日
YouTube
Color Change Customs
观看更多视频
更多类似内容
反馈