English
全部
搜索
图片
视频
短视频
地图
资讯
更多
购物
航班
旅游
笔记本
报告不当内容
请选择下列任一选项。
无关
低俗内容
成人
儿童性侵犯
时长
全部
短(小于 5 分钟)
中(5-20 分钟)
长(大于 20 分钟)
日期
全部
过去 24 小时
过去一周
过去一个月
去年
清晰度
全部
低于 360p
360p 或更高
480p 或更高
720p 或更高
1080p 或更高
源
全部
Dailymotion
Vimeo
Metacafe
Hulu
VEVO
Myspace
MTV
CBS
Fox
CNN
MSN
价格
全部
免费
付费
清除筛选条件
安全搜索:
中等
严格
中等(默认)
关闭
筛选器
khanacademy.org
Introduction to cubes and perfect cubes (video) | Khan Academy
Introduction to cubes and perfect cubes (video) | Khan Academy
4 个月之前
Difference of Cubes Formula
How to Factor the Difference of Cubes | Algebra
study.com
2021年6月15日
7:31
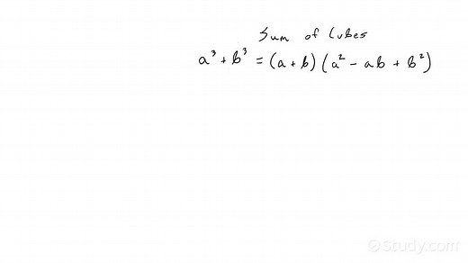
Factoring the Sum of Cubes | Formula, Rules & Examples
Study.com
已浏览 6100 次
2021年3月16日
5:23
Difference of Cubes | Formula, Factor, & Examples
Study.com
已浏览 9200 次
10 个月之前
热门视频
4:43
Introduction to cubes and perfect cubes
Khan Academy
Khan Academy
5 个月之前
Quick Facts: Properties of Cubes Animation
twinkl.ie
已浏览 3 次
2018年8月10日
Finding the Volume by Counting Cubes Activity
twinkl.co.uk
已浏览 18 次
2019年6月22日
How to Factor Difference of Cubes
How to Factor the Sum of Cubes | Algebra
study.com
2021年6月15日
9:28
Factoring a Perfect Cube | Overview, Formula & Examples
Study.com
已浏览 2700 次
2015年10月27日
6:09
Factoring the Difference of Two Cubes | Step-by-Step Algebra Guide
YouTube
MATH TECH SHER
已浏览 21 次
9 个月之前
4:43
Introduction to cubes and perfect cubes
5 个月之前
Khan Academy
Khan Academy
Quick Facts: Properties of Cubes Animation
已浏览 3 次
2018年8月10日
twinkl.ie
Finding the Volume by Counting Cubes Activity
已浏览 18 次
2019年6月22日
twinkl.co.uk
1:10
How the cube works basics
已浏览 174 次
2 个月之前
YouTube
JesseCubez
0:57
Cube related facts #cube #facts
3 个月之前
YouTube
Cubing & Math
20:16
How to Learn Your Cubic Numbers
已浏览 2723 次
2014年5月26日
YouTube
Crystal Clear Maths
2:23
3D Shapes: The Cube
已浏览 4.5万 次
2015年6月21日
YouTube
Annalyce D'Agostino-Gavin
3:11
CUBES- Math Strategy
已浏览 26.3万 次
2013年9月22日
YouTube
Janielle Headen
4:55
Cube and Cuboids
已浏览 24.5万 次
2016年9月24日
YouTube
BYJU'S
5:19
HOW TO MAKE SUGAR CUBES
已浏览 232.9万 次
2012年2月27日
YouTube
SimpleCookingChannel
3:59
Nets for Cubes
已浏览 5.6万 次
2017年3月1日
YouTube
Florida PASS Program
6:18
Coding Adventure: Marching Cubes
已浏览 109.7万 次
2019年5月6日
YouTube
Sebastian Lague
2:41
Solving With CUBES song
已浏览 1.9万 次
2021年2月7日
YouTube
Emily Stiftar
13:51
Squares, Cubes and Roots
已浏览 12.1万 次
2020年4月14日
YouTube
Maths Genie
4:12
What is a Cube?
已浏览 2.7万 次
2021年4月16日
YouTube
Lauren Murphy
1:56
Net of A Cube
已浏览 23.5万 次
2018年8月20日
YouTube
ETDtogo
14:52
Cube & Cuboid || Introduction || Lesson-1
已浏览 13.1万 次
2021年3月27日
YouTube
Feel Free to Learn
5:08
How to draw 2 point perspective cubes
已浏览 22.6万 次
2014年6月12日
YouTube
Mr. Otter Art Studio
4:56
Cube Numbers - Numberblocks 1 to 8000!
已浏览 1468.5万 次
2019年12月19日
YouTube
Custom Fun
3:26
Measuring Volume by Counting Unit Cubes
已浏览 27.1万 次
2016年5月22日
YouTube
IconMath
8:45
01 Cube numbers and their properties
已浏览 1815 次
2013年8月3日
YouTube
Online Pathshala
3:16
CUBES – Solving Math Word Problems (Video Lesson)
已浏览 1.9万 次
2016年9月10日
YouTube
IPDAE
3:25
What is a Net of Cube?
已浏览 2.8万 次
2020年8月4日
YouTube
Real Math Solutions
1:34
What are nets of a cube?
已浏览 6万 次
2014年3月13日
YouTube
Pflichtsender
18:52
ORIGAMI MOVING CUBES 2 (Jo Nakashima) - no tape/glue!
已浏览 136.7万 次
2019年7月27日
YouTube
Origami with Jo Nakashima
16:44
Basics of Data Cubes
已浏览 7.3万 次
2015年10月8日
YouTube
Matthew Love
8:08
Nets of Cubes and Cuboids
已浏览 8.6万 次
2020年3月18日
YouTube
Deasy Maths
5:36
Finding Volume with Unit Cubes | How to Find Volume
已浏览 112.6万 次
2020年3月16日
YouTube
Math with Mr. J
2:27
Grade 5 Math #11.6, How Many Unit Cubes
已浏览 2.8万 次
2016年4月23日
YouTube
JoAnn's School
观看更多视频
更多类似内容
反馈